![]() |
|
|
| home | objectives | results | background | activities | databases | partners |
The TROPHOS project formed a continuation of the SPSD-I research project. The causal factors responsible for the observed trends in the benthic communities (and their parasites) and the avifauna (as they were described in Cattrijsse & Vincx, 2001) are still far from understood. TROPHOS will mainly focus on the structure that is present in the higher trophical levels.
The different research topics that were studied in Trophos project are:
- Processes occurring at the sediment-water interface: benthic pelagic coupling
- Dispersal of selected invertebrates, fish species and their parasites
- Link between breeding success of seabirds and the availability of their prey items
* click on the picture for full-size image*
Processes occurring at the sediment-water interface: benthic pelagic coupling
The benthic-pelagic coupling can be considered as one of the most important processes occurring in a marine ecosystem: after a phytoplankton bloom, dead cells sink to the seafloor where they are remineralised. As a result of this process, nutrients are released again to the pelagic phase, where they fuel the next phytoplankton bloom.
The trophos results clearly show that at the BCS strongly different benthic ecosystems were present. Both processes,diversity and densities of bacterial, meiobenthic and macrobenthic communities were strongly related to the sedimentation and hence availability of labile organic matter from the water column.
Given the fact that the majority of the sediments at the Belgian Continental Shelf consists of these coarser sediments, the ecological value of these sediments for the functioning of the marine ecosystem should not be underestimated.
Dispersal of selected invertebrates, fish species and their parasites
Almost all marine organisms have expanded or stabilized their populations in response to processes such as climate cycling and sea level stand.The current populations of marine organisms integrate this history together with the ongoing postglacial equilibrium between hydrodynamics, habitat availability, ecological niche and anthropogenic factors such as fisheries, pollution and climate change. Trophos investigated the historical and current patterns of two invertebrate taxa (mysid shrimps and Gyrodactylus flukes) and two vertebrate taxa (Pomatoschistus gobies and common sole). We also initiated a modeling analysis of their patterns in the North Sea and English Channel
Invertebrates
Our genetic diversity and phylogeography study of planktonic invertebrates focuses on a widespread mysid species (Mesopodopsis slabberi) along the European coasts. From an evolutionary point of view mysids are interesting model organisms as their dispersal capacities are rather restricted (brood protection and absence of pelagic larvae), and hence they often show a significant population genetic structuring. As an omnivore and as an important prey for demersal and pelagic fish and larger epibenthic crustaceans (Hostens & Mees 1999), they are believed to be key species in the ecosystems of estuaries and coastal regions.
Fish
Sand gobies prefer coastal habitats, have small sizes and are very abundant, they play a key role in the food web of the coastal zones of temperate seas. The combination of brood care, a short pelagic larval stage and a demersal life style during their short life makes them suitable for an in depth genetic study. Gysels et al. (2004a, b) observed historical patterns in the North Sea. A small scale study of Pampoulie et al. (2004) revealed a moderate differentiation between estuarine, coastal and marine samples, suggesting that historical events (eg the Holocene sea level rise) and contemporary habitat fragmentation contributed to the pattern. Moreover, samples were assigned to two rather complex breeding units (Westcoast and Easternscheldt).
Significant temporal differentiation was observed within the populations. Populations seem to be differentiated over years (1998-2004, but also on a seasonal scale.A seasonal temporal differentiation was observed: spring populations turned out to be more distinct than fall populations, suggesting that spawners belong to distinct groups while progeny tend to mix on the nursery grounds in fall. This study proposes that the “adopted-migrant” hypothesis with a high degree of exchange between neighbouring populations provides a realistic hypothesis to explain the present population genetic structure of sand gobies. As expected, there is evidence that the Scheldt estuary is a nursery area for juvenile sand gobies (Larmuseau 2005).
These results point indeed to the presence of small-scale patterns, despite the strong hydrodynamics and seemingly continuity of the water masses. It also establishes for the first time the scale at which gobies establish their habitat (10– 100 km).![]()
![]()
![]()
But we still don’t understand very well
- the link between spawning ground, nursery and feeding ground
- the variation in population structure and functioning between years and
- the adaptive potential- capacity to adjust to environmental and biological variation
Parasites
Link between breeding success of seabirds and the availability of their prey items
The tern colony at Zeebrugge is of high international importance and has recently been designated as a Special Protected Area under the Bird Directive. Scientific knowledge as has been gathered during the THROPHOS project is crucial for the preservation of these species and to develop a proper management plan for the breeding site. The study reveals that protecting the two tern species requires both local management (Common tern) as well as international and cross-North Sea management(Sandwich Tern). The two species are closely related and breed in close proximity, but exhibit very different life-history traits.
Both species may serve as indicators for the state of the marine environment. The fledging success and relative population growth of Common Terns prove to be good candidates to serve as a proxy for the condition of small pelagic fish in the surroundings of Zeebrugge.
- Parental effort put into foraging was of poor indicative value in Zeebrugge
- Chick growth and survival as indicator.
The most pronounced effect of the absence of high rates of kleptoparasitism can be found in the amount of time that parents allocate to foraging.
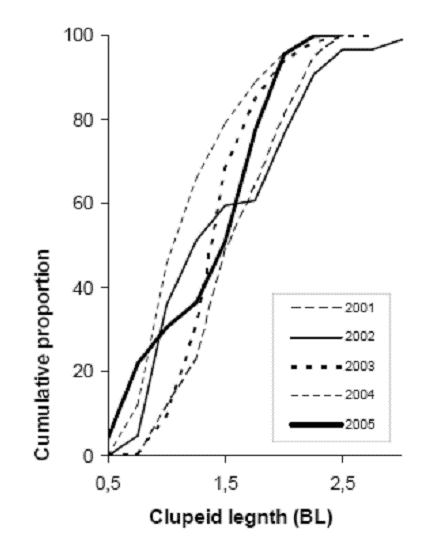
Chick growth and survival is lower in Zeebrugge than on Griend unlikely parents from Zeebrugge have much wider margins to adjust their foraging behaviour. Parent terns on Griend compensate food shortage by increasing their foraging effort, in Zeebrugge they cannot compensate: In some years a certain length-class is (temporarily) missing from the prey spectrum that is needed for continuous chick growth. Apparently parents can not correct this effectively by increasing their foraging effort by shifting towards smaller prey. In such years chicks may grow initially at normal rates, but suddenly get into trouble and starve to death.Length distribution of herring fed to Sandwich Tern chicks in Zeebrugge in 2001-2005
Supported by
the Belgian Federal Science Policy Office
General coordination: Magda Vincx, Jan Vanaverbeke
Web site and databases hosted by VLIZ